Tarih:
10.01.2024 - 23:06
Kategori:
Siyaset

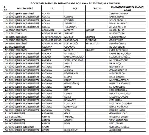
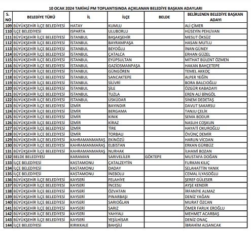
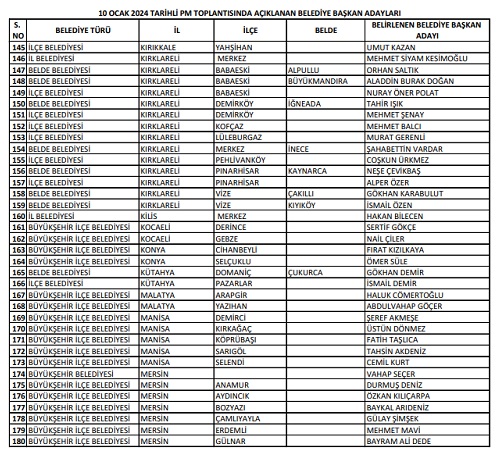
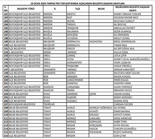
Cumhuriyet Halk Partisi Genel Başkanı Özgür Özel Başkanlığında toplanan PM'de 240 seçim bölgesi adayı açıklandı.
Parti Sözcüsü Deniz Yücel yaptığı açıklama; '6’sı büyükşehir belediyesi, 15 il belediyesi, 189 ilçe belediyesi ve 33 belde belediyesi olmak üzere 240 seçim çevresi. Bugün belirlediğimiz belediye başkan adaylarımızın 23’ü kadın.'
10 OCAK 2024 TARİHLİ PARTİ MECLİSİ TOPLANTISINDA BELİRLENEN BELEDİYE BAŞKAN ADAYLARI LİSTESİ
CHP 10 Ocak Parti Meclisi 240 Seçim Bölgesi aday listesi sıralı;







ÜYE YORUMLARI
Yorum YapFacebook Yorumları